Описания продуктов
|
Название продукта |
Неодимовые магниты/кольцевые магниты |
|
Материал |
Неодимовый железо-борный магнит |
|
Размер |
Настраивается в соответствии с запросами |
|
Допуск по размеру |
+/-0,05 мм |
|
Направление магнитасм |
Осевое, Радиальное намагничивание |
|
Приложения (широко используется) |
Кольцевые неодимовые магниты идеально подходят для компактных двигателей, датчиков и систем магнитной связи. Их кольцевая конструкция позволяет эффективно использовать магнитные цепи в динамиках, фильтрах и удерживающих устройствах. Широко используемые в автоматизации, возобновляемых источниках энергии и бытовой электронике, они создают сфокусированные магнитные поля при минимальных требованиях к пространству. |
Направление намагничивания
Магнитная ориентация определяет ось, вдоль которой расположены полюса магнита. Основные конфигурации включают в себя:
Осевое выравнивание – магнитные полюса расположены на двух основных параллельных поверхностях.
Поперечное выравнивание – полюса расположены на противоположных изогнутых сторонах.
Многополюсная конфигурация – последовательные северные-южные полюса, расположенные по кругу или линейно.
Индивидуальные конструкции полей – специально разработанные магнитные пути для уникальных реализаций

Покрытие/покрытие
Неодимовые кольцевые магниты требуют защитного покрытия для предотвращения коррозии. Распространенные варианты включают никелирование (Ni-Cu-Ni), цинк, эпоксидную смолу и золото. Эти тонкие слои обеспечивают долговечность без ущерба для магнитных характеристик, обеспечивая долговечность в различных средах, сохраняя при этом структурную целостность и функциональные характеристики магнита.

Высокоточное-производство
Неодимовые магниты могут поддерживать точность размеров в пределах ±0,05 мм благодаря передовым методам точной обработки, включая шлифование поверхности и процессы резки с ЧПУ. Жесткий контроль допусков обеспечивает стабильную работу в приложениях, требующих точного распределения магнитного поля и механической посадки.

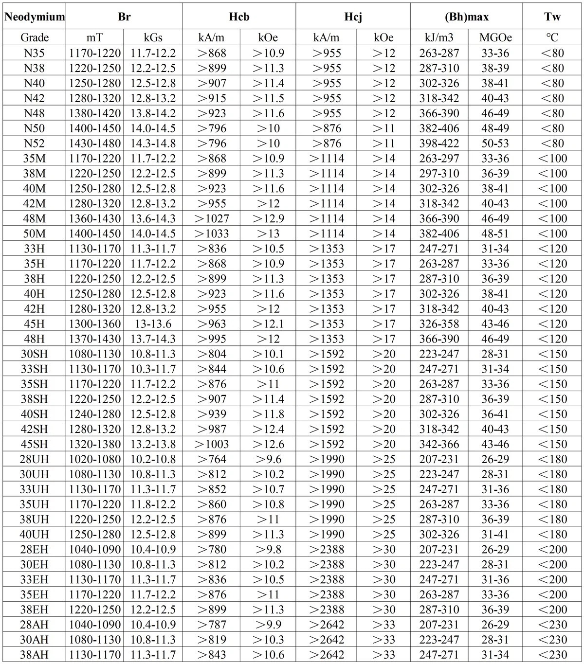
Параметры магнитного класса

Профиль компании
Основанная в 2003 году, компания Hesheng Magnetics является пионером в китайской отрасли производства постоянных магнитов из неодимовых редкоземельных металлов, работая с полной вертикальной интеграцией от обработки сырья до сборки готовой продукции.
Два десятилетия целенаправленных разработок укрепили наше лидерство в производстве интеллектуальных магнитов и передовых приложениях. Благодаря постоянным инвестициям в исследования и разработки и передовым технологиям производства мы разработали отличительные преимущества продукции в четырех специализированных категориях: магниты сверх-больших размеров, прецизионные магнитные сборки, компоненты-нестандартной формы и специализированные решения в области магнитных инструментов.


Сертификаты
Наши производственные мощности проходят комплексную сертификацию систем управления качеством, окружающей средой и безопасностью (IATF16949, ISO9001, ISO14001, ISO45001). Соответствие продукции включает такие международные стандарты, как RoHS, REACH, EN71, CE, CP65, CPSIA и ASTM, что обеспечивает доступность глобального рынка и постоянное обеспечение качества.

Часто задаваемые вопросы
Вопрос: Вы торговец или производитель?
О: Мы являемся производителем с 20-летним специализированным опытом производства неодимовых магнитов. Наш 15-летний опыт работы на европейских и американских рынках, а также партнерские отношения с такими мировыми брендами, как Disney, Samsung и Apple, демонстрируют наши надежные возможности поставок. Вся продукция сопровождается полной сертификацией качества и документацией по испытаниям.
Вопрос: Каков процесс заказа?
О: Наш процесс заказа состоит из четырех простых шагов: 1) Поделитесь своими спецификациями или потребностями приложения; 2) Получите наше профессиональное предложение; 3) Подтвердите образцы и оплатите депозит; 4) Мы начинаем производство немедленно. Это обеспечивает эффективное выполнение проекта от концепции до реализации.
Вопрос: принимаете ли вы индивидуальные спецификации?
А: Абсолютно. Мы специализируемся на производстве магнитов в соответствии с техническими требованиями клиента, включая нестандартные размеры, формы и классы производительности. Пожалуйста, поделитесь своими техническими чертежами или подробными требованиями для индивидуального решения.
Вопрос: Какие варианты упаковки доступны?
О: Мы предоставляем стандартную анти-упаковку, обеспечивающую безопасную доставку. Для крупных заказов также доступны индивидуальные упаковочные решения, отвечающие конкретным логистическим требованиям или требованиям брендинга.
Вопрос: Магниты теряют силу со временем?
О: Хотя постоянные магниты испытывают минимальный естественный магнитный распад (обычно менее 1% в течение 10 лет), правильные условия хранения и использования обеспечивают стабильную работу. Из-за этой незначительной деградации их классифицируют как «постоянные» магниты.



